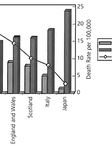
고탄저지1 생활습관(식이와 운동)을 통한 당뇨병 치료 생활습관(식이와 운동)을 통한 당뇨병의 치료 1930년대에 힘스워스(Himsworth)는 아래와 같이 6개 국가의 식습관과 당뇨병의 비율을 비교하는 연구를 하였다.그는 문화권에 따라 탄수화물을 주로 섭취하는 쪽이 있는가 하면 반대로 고지방 음식을 선호하는 쪽이 있다는 것을 알았다.China study. Chapter 7 위의 도표를 보게 되면 미국과 비교했을 때 일본의 식단은 탄수화물 비중이 높고 지방이 훨씬 적다는 것을 알 수 있다.동시에 당뇨병의 발병율을 보면 대략적으로 미국이 일본보다 7배 정도는 더 높게 나타나는 것을 알 수 있다.연구에서는 탄수화물을 섭취하고 지방을 덜 먹을 때 당뇨병으로 인한 사망자 수는 인구 10만 명당 20.4명에서 2.9명으로 떨어졌다.1960년대의 다른 연구에서도 이 .. 2019. 2. 11. 이전 1 다음